|
|
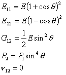
The purpose of this test is to validate orthotropic elements properties. You will use an isotropic biased plate and an orthotropic analog plate, computed with a 2D mesh. |
||||||||||||||||||||||||||||||||||||||||||||||
|
|
Reference: M. JONES, Mechanics of Composite Materials, Hemisphere publishing corporation, pp250-254, 1975. ASHTON JE, An Analogy for Certain Anisotropic Plate, Journal of Composite Materials, pp355-358, April 1969. |
||||||||||||||||||||||||||||||||||||||||||||||
|
|||||||||||||||||||||||||||||||||||||||||||||||
|
Isotropic biased plate:
|
|
|
Orthotropic analog plate:
|
|
|
Isotropic plate:
|
|
|
Orthotropic plate:
|
|
|
Mesh Specifications: |
|
|
Restraints (User defined): |
|
Results

|
Plates |
Analytical |
Linear Triangle (TR3) |
Parabolic Triangle (TR6) |
Linear Quadrangle (QD4) |
Parabolic Quadrangle (QD8) |
||||
|
|
|
|
|
||||||
|
Computed Results |
Normalized |
Computed Results |
Normalized |
Computed Results |
Normalized |
Computed Results |
Normalized |
||
|
Biased Isotropic |
1.907 |
1.988 |
1.048 |
2.011 |
1.055 |
1.933 |
1.013 |
1.977 |
1.037 |
|
Analog Orthotropic |
1.907 |
1.900 |
0.996 |
1.931 |
1.012 |
1.908 |
1.001 |
1.884 |
0.988 |
To Perform the Test:
The Isotropic_biased_plate_QD4.CATAnalysis document presents the complete analysis on an isotropic biased plate, computed with a mesh formed of linear quadrangle elements (QD4).
The Orthotropic_analog_plate_QD4.CATAnalysis document presents a complete analysis on an orthotropic analog plate, computed with a mesh formed of linear quadrangle elements (QD4).
To compute the case with other meshes (TR3, TR6 and QD8), proceed as follow:
Open one of the CATAnalysis documents.
In the Advanced Meshing Tools workbench, replace the mesh specifications as indicated above.
In the Generative Structural Analysis workbench, compute the case.
![]()