|
|
This test is used to validate the following attributes:
You will use a 1D mesh. |
||||||||||||||||||||||||||||||||||||
|
|
Reference: Guide de validation des prologiciels de calcul des structrues, AFNOR technique, pp 200-201, 1990, SFM. |
||||||||||||||||||||||||||||||||||||
|
|
Length: |
|
|
Height and Width:
|
|
Young Modulus (material): |
|
|
Poisson's Ratio (material): |
|
|
Density: |
|
|
Mesh Specifications: |
|
|
Restraints: |
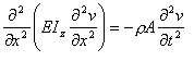
ResultsThe beam bending differential equation (Euler-Bernoulli theory):

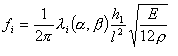
The frequencies are given by the following formula:

where:

![]()
So the exact frequencies are:
![]()
The computed results for different numbers of elements are
presented in the table below.
|
Mode |
Analytical solution [Hz] |
8 elements |
16 elements |
32 elements |
64 elements |
|
1 and 2 |
54.18 |
52.94 |
53.83 |
54.05 |
54.10 |
|
3 and 4 |
171.94 |
165.44 |
169.81 |
170.93 |
171.21 |
|
5 and 6 |
384.40 |
366.74 |
377.55 |
380.39 |
381.11 |
|
7 and 8 |
697.24 |
661.30 |
680.41 |
685.59 |
686.94 |
|
9 and 10 |
1112.28 |
1048.83 |
1077.38 |
1085.04 |
1087.13 |
To Perform the Test:
The SlenderBeamVariable.CATAnalysis document presents a complete analysis of this case, computed with a mesh formed of beam elements. Proceed as follow:
Open the CATAnalysis document.
Enter the Advanced Meshing Tools workbench.
In the specification tree, double-click the mesh part. The Global Parameters dialog box appears.
Change the mesh specifications as indicated in the Analysis Specifications table.
Compute the case in the Generative Structural Analysis workbench.
![]()