Uniform Law 

The Uniform law is parameterized by a lower limit (unit: millimeter) and a upper limit (unit: millimeter).
Another name for the Uniform law is Rectangular law.
 
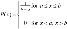
  Let's take a random variable following the Uniform law, then:

is distributed according to the following density of probability, where:

 

With mean:

 

With variance:

 

With standard deviation: